Back to Math 131A-B H page

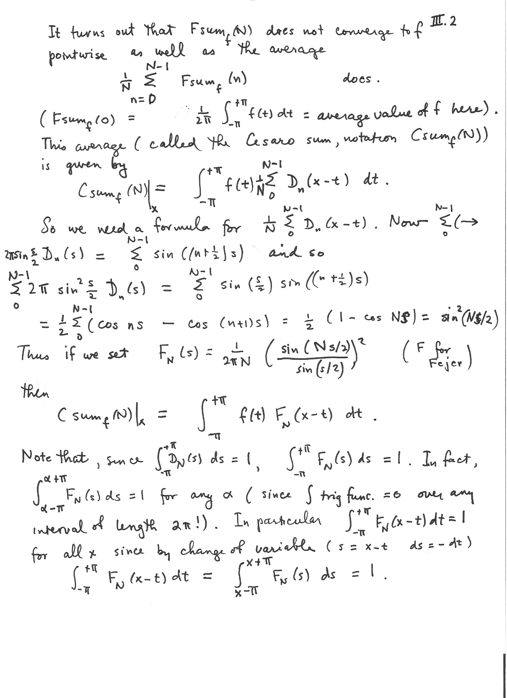
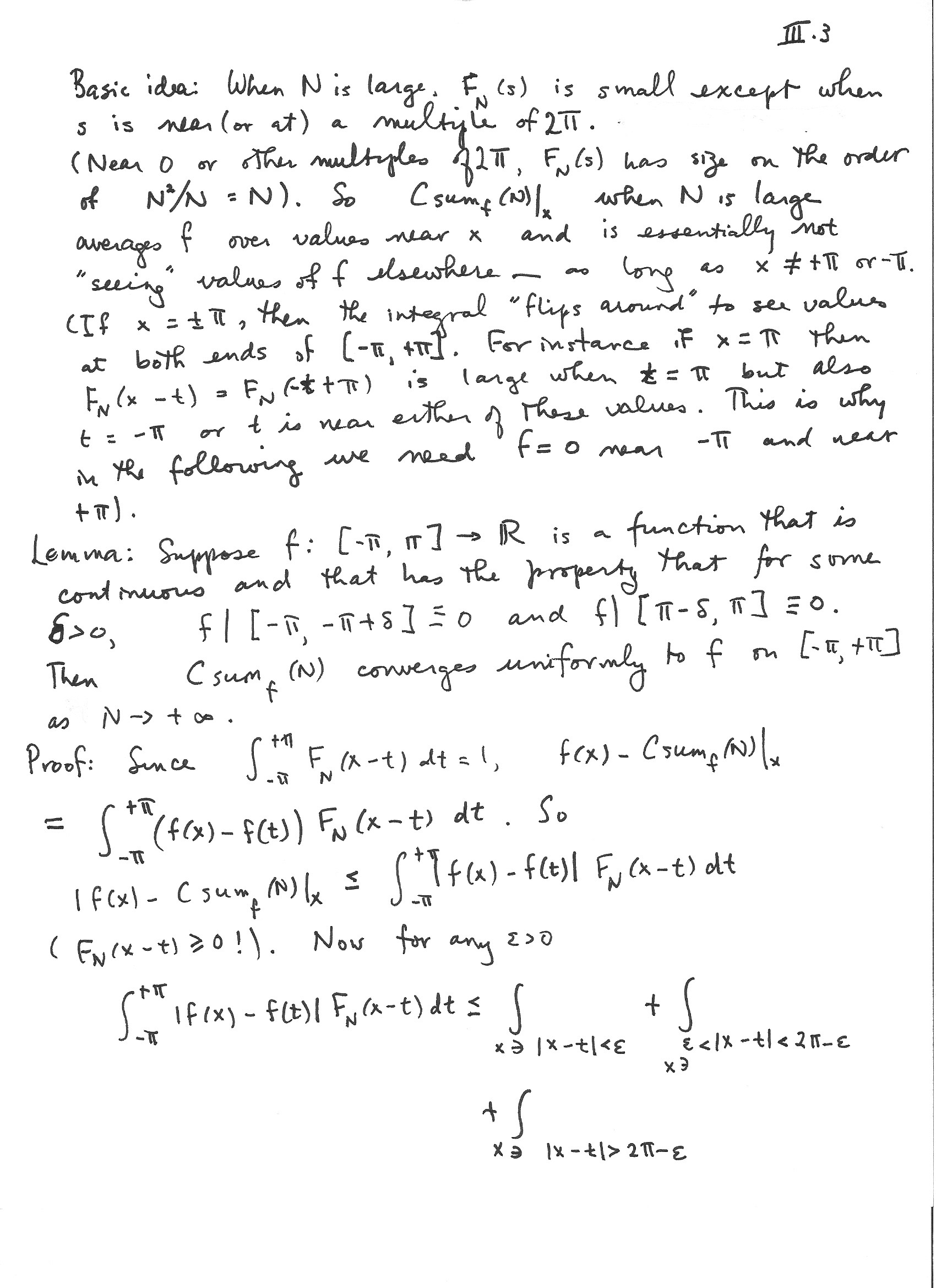
Summary of lecture III and lecture IV, January 2006, Math 131BH









Back to Math 131A-B H page